你有没有发现一个很有意思的现象:如果家里有好几个孩子,一般都是老大最懂事,老二比较随和,而老幺最擅长撒娇?
这个现象看起来好像有点“玄学”的味道,但是不得不承认,很多家庭里都是类似的情况。
难道孩子在出生的那一刻,就已经被分配好Ta的“性格脚本”了吗?
出生顺序不同,确实会有一些性格差别
在心理学中,研究出生顺序和有无兄弟姐妹对于一个人性格的影响,其实已经由来已久了。其中比较著名的是心理学家弗兰克·萨洛韦在1995年发表的研究,他从进化心理学的角度认为出生顺序一定会导致性格差异,因为每个孩子都需要争夺父母的关注和爱护,才能保证自己健康成长,所以长子会表现得更加懂事,以保持其原有的优势地位,而后出生的子女则需要挑战现状,比如表现得更叛逆或娇气,从而获得更多的关注。[1]
后来也有研究者通过大约26万名高中生的调查数据证明了这个理论,他们发现出生顺序确实与一个人的性格有一定的关系,长子通常会更有责任心和成熟懂事,但比较矛盾的一点是,他们还发现长子反而性格更随和。[2]
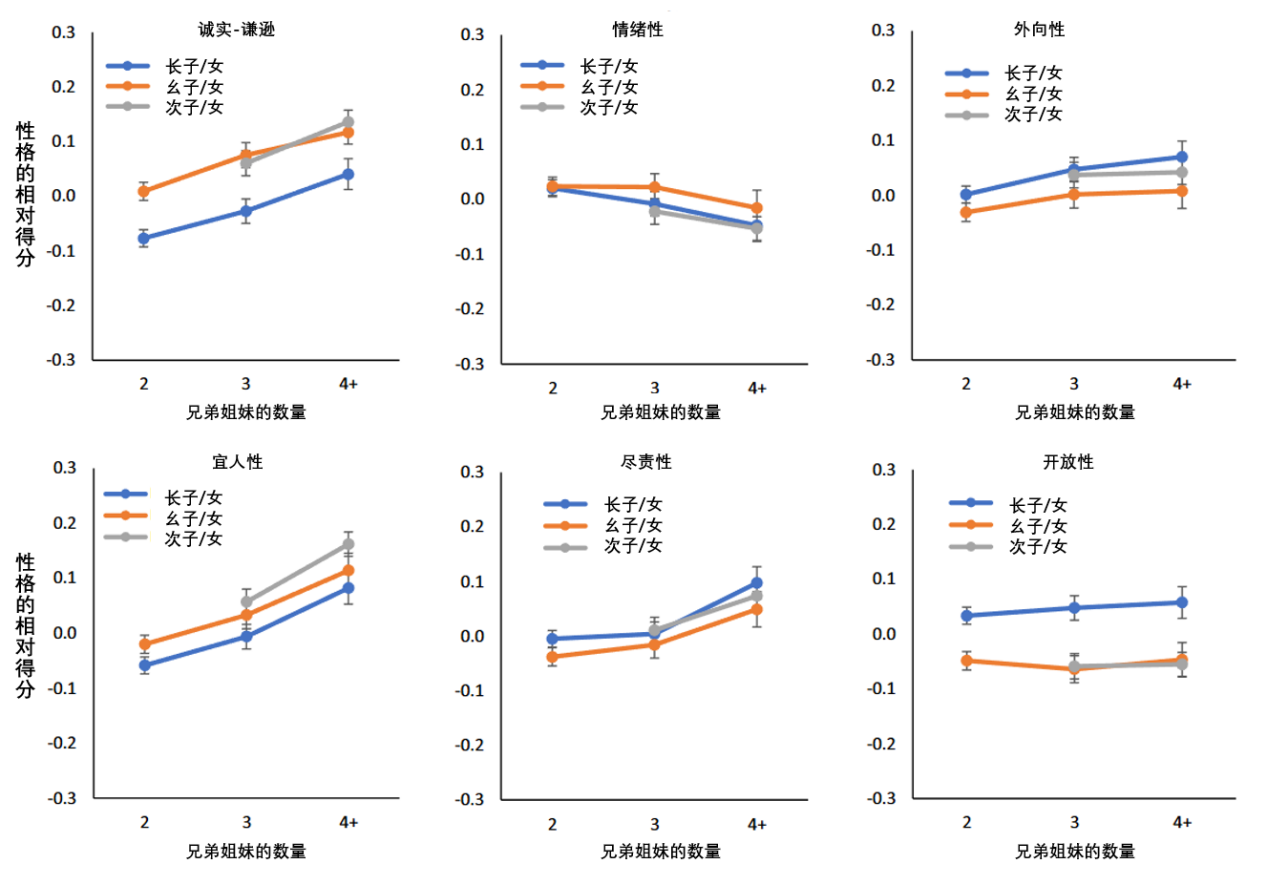
而在2025年发表的一篇最新的大规模研究中,心理学家通过对超70万人的性格和家庭结构进行了分析,更加清晰可靠地得出了这个问题的答案。他们收集了参与者的兄弟姐妹数量信息,并采用了一种叫做HEXACO人格模型的方法评估了他们的性格,这个模型基于心理学界广泛认同的大五人格特质理论,并增加了一个新的维度,一共包括诚实-谦逊、情绪性、外向性、随和性、尽责性和开放性这六个维度。
研究结果发现,出生顺序确实会在一定程度上影响孩子的性格。老大相对来说会更加外向,责任心更强,更愿意接纳新鲜事物(开放性较高)。后来出生的孩子更加诚实和谦逊,比较内向,性格比较随和、爱合作(宜人性较高),但是情绪稳定性方面略低于老大。

图源:参考文献[3]
另外,这篇研究还发现,家里兄弟姐妹的数量也会影响孩子的性格,比如在兄弟姐妹数量越多的家庭里长大,孩子的性格就会更加诚实、谦逊和随和,并且更有责任心,但是情绪稳定性会有所降低。[3]

图源:参考文献[3]
所以,这些结论其实很符合大多数人的印象,家里有多少个兄弟姐妹以及是第几个出生,确实会让孩子的性格有所不同。
为什么会出现这样的性格差异?
首先要说明一点,出生顺序和兄弟姐妹数量所带来的性格差异,并不是天生的。心理学家乌里·布朗芬布伦纳提出的生态系统理论(Bioecological Model)认为,个体的发展是一系列复杂环境系统相互作用的结果,比如孩子最直接的生活环境是家庭和学校,会很大程度上受到教育和朋友关系的影响,而从更宏观的角度来说,成长过程中的社会文化环境和价值观也很重要。
那么,具体来说,出生顺序和兄弟姐妹数量到底是怎么影响孩子性格的呢?
1. 不同的教养方式
父母是孩子的首个也是最重要的榜样和老师,他们的一言一行都会在很大程度上影响孩子的发展。但是,在多个孩子的家庭中,很少父母会用完全相同的方式来对待每一个孩子。
在心理学中,父母的教养方式主要可以分成以下四种:
权威型:既会给孩子提出清晰的规则,但也会尊重孩子的情感需求和自主性;
专制型:通常会给孩子提出严格的要求,要求孩子无条件服从;
放纵型:几乎很少提出要求,过度放任和溺爱孩子;
忽视型:既不会对孩子提出任何要求,但是也很少关心孩子的需求。
有研究发现,随着长子/女的长大,父母对待第二或第三个孩子的教养方式也会有所不同,而这种差异化教养就是同一个家庭里的孩子形成不同性格的重要原因之一。[4]
举一个简单的例子,当第一个孩子出生时,父母几乎没有经验,但是对孩子的期待往往是比较高的,所以很可能会用比较严格甚至是很焦虑的方式来教育孩子,也就是比较偏专制型的风格,尤其是有了第二个孩子之后,也会更加要求年长的孩子做好榜样,这就会让老大形成更强的责任感。而对于第二或第三出生的孩子,父母的焦虑通常有所降低,就会更容易采取权威型或放任型的态度,不会给他们提出太多的要求,而且会更加温柔和宠爱,所以这些较小的孩子就更容易形成温和的性格,但也可能会变得比较任性。
2. 家庭资源的影响
在心理学中有一个著名的资源稀释理论(Resource Dilution Model),认为在一个家庭中,父母的资源是是有限的,随着家庭中子女数量的增加,每个孩子所能分得的资源就会相对有所不同,而这就会对孩子的发展产生一定的影响。这些资源不只是居住条件或教育花费等物质层面的,还包括父母能够付出的时间和注意力等非物质资源,所以,资源的稀释或倾斜就可能会造成孩子性格发展的差异。[5]
打个比方,父母的爱就像一块一定尺寸的“蛋糕”,第一个孩子或独生子女自然可以独享整块蛋糕,不需要与人竞争,很容易就能赢得父母的夸奖,但是后来出生的孩子一开始就生活在“分享蛋糕”的环境中,就可能会出现父母的关注不均等、孩子之间相互争抢等现象,从而形成孩子之间的性格差异。
不过,我们也可以从另一个角度来看,资源的稀释也不全是坏事,有兄弟姐妹的环境也让孩子们学会了不同的生活智慧,比如老大学会了照顾弟弟妹妹,小一点孩子懂得直接地表达自己的需求。家庭里的每一个孩子,也因此逐渐成长为独一无二的自己。
3. 社会比较塑造性格
我们前面就说到,对于孩子来说,家庭其实就是一个最小单位的“社会”,尤其是对于多个孩子的家庭来说,孩子会在父母和兄弟姐妹的陪伴下逐渐完成社会化。
心理学家利昂·费斯廷格提出的社会比较理论认为,人们会需要通过与他人进行比较来确认自我价值,并调整自己的观点和行为。而在一个家庭环境中,孩子其实每时每刻都在与自己的兄弟姐妹进行社会比较,他们参考的重要准则就是父母的反应,比如“谁总是会被表扬?谁更会惹麻烦?谁能让爸妈笑?”当一个孩子发现自己在某个方面不如其他人时,就会不自觉地往另一个方向发展,比如哥哥成绩很出众,弟弟就可能就会努力在运动上突出自己的优势,如果姐姐乖巧懂事,妹妹可能就会表现得更加有个性等。
社会比较对每个人都很重要,在还没有成长为独立自主的大人之前,我们都需要在比较中不断定义和改变自己,才能找到“我是一个怎样的人”、“我有哪些优点和缺点”等问题的答案。
结语
也许出生顺序和兄弟姐妹确实会影响我们的性格,但是心理学家也强调,这种影响其实并不是决定性的,它只是人生中一个微小的起点。而真正塑造自己性格的,是我们后来无数次的选择和努力。说到底,只有我们自己才能真正定义自己的性格和人生。
参考文献
[1] Sulloway, F. J. (1995). Birth order and evolutionary psychology: A meta-analytic overview. Psychological inquiry, 6(1), 75-80.
[2] Damian, R. I., & Roberts, B. W. (2015). The associations of birth order with personality and intelligence in a representative sample of US high school students. Journal of Research in Personality, 58, 96-105.
[3] Ashton, M. C., & Lee, K. (2025). Personality differences between birth order categories and across sibship sizes. Proceedings of the National Academy of Sciences, 122(1), e2416709121.
[4] Whiteman, S. D., McHale, S. M., & Crouter, A. C. (2011). Family relationships from adolescence to early adulthood: Changes in the family system following firstborns' leaving home. Journal of Research on Adolescence, 21(2), 461-474.
[5] Downey, D. B. (2001). Number of siblings and intellectual development: The resource dilution explanation. American psychologist, 56(6-7), 497.
本文为科普中国·创作培育计划扶持作品
出品丨中国科协科普部
监制丨中国科学技术出版社有限公司、北京中科星河文化传媒有限公司
作者丨陈宇峰 发展与教育心理学硕士
审核丨樊春雷 中国科学院心理研究所副研究员、中国心理学会会员
图文简介